Mathematical Physics Notes: Do Electromagnetic Dynamics Shed Light on the (Plasma) Universe?
Summary
This exercise explores whether cosmological phenomena might be better explained by the incorporation of electromagnetism into a unified framework.
To begin, a simple exponential ordering of fundamental force relationships highlights the key divergence between the spatial distribution of the electrostatic and gravitational forces versus magnetism.
Electromagnetism and plasma physics may elucidate cosmological phenomena, including consideration of the following: The electrostatic force strength relative to that of gravity, plasma-driven charge separation and extended electrical currents in space, compression of matter by electromagnetic forces, the orbital trajectories of charged particles, and a possible link between gravity and photons.
Moreover, if we drop the assumption that the total mass of particles in the universe is constant (Friedmann 1922; Narlikar 1977) then the notion of spatial separation (such as an expanding universe) is replaced by a universe that is ‘growing’ in the sense of gaining mass over time.
It should be clarified that the processes described here should not be considered solely deterministic per the equations describing fundamental laws. On the contrary, the dynamics of plasma physics bring stochasticity and chaotic motion into the universe, giving rise to incompressible systemic complexity and creative stellar and other formations. Moreover, plasma electro(magneto)dynamics are not limited to phenomena in space as they play a critical role in biological mechanisms (e.g., voltage-gated ion channels). Although less obvious, human action and economic activity/distortions may also be rooted in plasma electrodynamics. For a separate exposition on a theoretical underlying commonality across these domains (physics, biology, and economics) incorporating principles of charge separation while warning of the dangers of violating bodily integrity, see Kennedy (2022b) on econobiophysics, here.
Reliance on non-electrical models may distort our understanding of the nature of the universe, leading to commonly-accepted hypotheses such as curved space, black holes, and dark matter. A re-examination may be warranted considering advances in research in electromagnetic dynamics and plasma physics.
An Afterword has been added to this study after the References section to address further possible systemic solutions, incorporating natural resonance frequencies of econobiophysical systems and the dynamics of dissipation to counterbalance destabilizing and destructive external driving forces.
Exponential Ordering of Force Laws
Force laws are simplistically ordered below by their exponents in the denominators of the equations, beginning with the two non-Newtonian electrodynamic forces: The magnetic field strength as the inverse of the first power of the distance, followed by the electrostatic force as the inverse of the square of the distance. The gravitational force with the same inverse square relationship as the electrostatic force, is discussed last. Note that “electro” also implies “magnetic” or “magneto” as these two forces are intertwined.
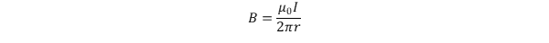
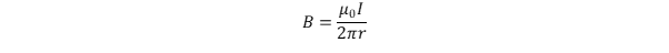
1.Magnetic Field Strength Relationship. The strength of the magnetic field falls off inversely as the 1st power of the distance r from the electric current:
…where B is the magnetic field strength in Teslas, μo the permeability constant, I is the electric current, and r is the distance between the current and the magnetic field. It should be emphasized that this relationship is the inverse of the first power not the square, a key distinction which may be overlooked. Also see the section below on the Maxwell-Lorentz equations.
2.Electrostatic Force (re: Coulomb’s Law)
This law describes the interaction of electrically-charged particles and how the strength of an electric field decreases with the square of the distance from the source:
…where E is the electric field strength in Newtons/Coulomb, k is Coulomb’s constant of proportionality, Q the size of the charge creating the field (in Coulombs), r the distance between the charge and the point of field strength measurement. (Alternatively, the equation can be shown with two charges as:
As seen next, the force laws for this electrostatic force and gravity are strikingly similar when expressed mathematically (Stein 2013).
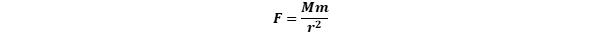
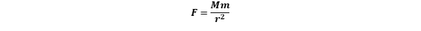
3.Gravity
The commonly accepted formula for the gravitational force is:
…where M and m are two (celestial or other) bodies, G is the gravitational constant and r is the distance between the two.
No Constant G. However, it should be clarified that Newton (1704) did not use a gravitational constant G; the equation was written as follows:
The commonly accepted equation appending G was first proposed by Cornu and Baille (1873); re: Haug (2019).
Gravity and Light (Electromagnetic Link). Notably, in further research developments, gravity is posited as substitutable with photons, with rest-mass expressed in kilograms at both the subatomic and cosmological levels using the Compton wavelength (λ) of the mass. This suggests not only a direct connection between electromagnetism and gravity but that the speed of both gravity and light are identical (Haug 2019; 2022). For a table showing gravitational phenomena as predicted by observations from a light beam see the Appendix.
The tidal force scales as the inverse of the third power. However, this tidal force is not treated as a uniquely separate force because it is a derivative of the gravitational force of two bodies defined as the difference in the gravitational force between two points FT= F1 – F2.
Nevertheless, the power of the tidal force to “spaghettify” physical bodies should not be underestimated! (NASA 2023)
Other Considerations
Ratio of Forces: Electrostatic vs. Gravitational
The electrostatic force as compared to the gravitational force between two subatomic particles is shown below as a ratio (Scott 2012; Stein 2013). For example, a ratio of 1.0 x 1030 means that the electrostatic force is 1.0 x 1030 times greater than the gravitational force (or alternatively stated, 30 orders of magnitude greater than the gravitational force).
Proton to Electron attraction, ratio: 2.3 x1039
Proton to Proton repulsion, ratio: 1.2 x 1036
Electron to Electron repulsion, ratio: 4.2 x 1042
As can be seen from the particle combinations, in all cases the electrostatic force between subatomic particles greatly exceeds that of the gravitational forces.
Cosmic Activity and Motion
In addition to Einstein’s observations on the electrodynamics of moving bodies (Einstein 1905a), factors that may help unravel fundamental workings of the cosmos include the Lorentz-Maxwell equations and notable contributions to plasma physics (of course, this study should not be viewed as comprehensive): (Birkeland 1908; Bennett 1934; Spitzer 1956; Fried and Conte 1961; Alfven 1970, 1986 re: magnetohydrodynamics; Arp (1987; 2003); Gurnett and Bhattacharjee 2017; Chen 2019).
Maxwell-Lorentz Equations. Maxwell’s equations describe the generation and potentially limitless propagation of electric and magnetic fields. The electric current produced by a voltage drop between two points in turn generates a magnetic field that in turn induces an electric field around itself that induces a new magnetic field, etc. (Maxwell 1873).
The Lorentz force (Lorentz 1899a, b) describes the electro- and magnetic forces that change a moving charged particle’s momentum by application of an electric field E, magnetic field B, or both. The equation is F= qE + qvB where F is the entire electromagnetic force exerted by a charged particle q moving with velocity v through E and/or B; the first and second terms of the equation denote the electric and magnetic fields, respectively. If a charged particle such as an ion is introduced orthogonally (such that v is perpendicular to B) the result is a spiraling out in circular orbit; at an angle of <90o the particle orbit follows a helix with an axis perpendicular to the magnetic field lines. (Hocart 2010; Britannica 2023).
Discussion. The theoretical trajectories simulated by the Lorentz force may be viewed as more consistent with the observed values of galaxy rotation and velocity profiles than gravitational forces. Moreover, the hypothesis that gravity accounts for star and galaxy formation (re: accretion disks and their loss of angular momentum) may overlook the action of magnetic fields in ionized accretion disk plasma (Peratt 1992; Scott 2012; Ley, et al. 2019).
Magnetic Field Lines. Recall from above that the magnetic field strength drops off as the first power of the distance. While electric fields have beginning (positive charges) and end (negative charges) points it should be clarified that contrary to the view that magnetic fields can “open” and “reconnect,” magnetic field lines are endless closed loops (Maxwell 1873): ∇⋅B=0.
Charge Separation and Ionization in Space. At a critical velocity, it has been demonstrated that plasma traveling through a neutral cloud can result in ionization whereby charge separation can occur to create electric fields (Alfven 1970; 1986).
Plasma Conductivity. As for characteristics of cosmic plasmas, they are excellent but not ideal conductors as they may contain weak electric fields within them (Scott 2012); magnetic fields within plasmas do exhibit motion and are not “frozen-in” plasmas as originally thought (Alfven 1970).
Charge Acceleration. An important cosmic phenomenon occurs when charges are accelerated in Birkeland currents: Non-thermal electromagnetic synchrotron radiation of galactic and stellar jets is generated by the spiral motion of electrons along the magnetic field, such as in Birkeland currents which themselves occur when high-intensity electric current passes through a plasma; thee currents may be characterized by corkscrew formations (Birkeland 1908; Scott 2012).
Issues Concerning Mass
Missing Mass Misunderstanding. The long, stringy, filamental structures of magnetized plasma produced by long electrical currents in space (re: Birkeland currents noted above) can accrete and compress even non-ionized material (z-pinch/Bennett pinch; Bennett 1934) to form stellar bodies. Since such structures are unlikely to have the mass necessary to produce a significant gravitational field, in a non-electrical model of the universe the conclusion may be drawn that mass is missing. Moreover, the outsized energies associated with some galaxies also may give rise to the assumption that any unaccounted-for mass is heavily compressed into black holes. Also refer to the comments on accretion disks and the role of electromagnetic forces in the formation of stars and galaxies in the section on Maxwell-Lorentz equations above.
Non-Constancy of Mass. If we assume that mass of the particles of the universe is not constant in contrast to Friedmann (1922), particle masses become a function of time t squared or M=αt2 where α is a constant (Narlikar 1977). This relationship would imply that rather than a universe described by spatial separation (as in a spatially expanding universe), it is gaining mass; informally stated, in other words, the universe is growing over time.
***
These results are shared as a public service; if helpful consider paying it forward by adding something extra to any donations made to reputable charities, preferably with priority given to the most vulnerable, including defenseless animals. Organizational reputations may be researched through sites such as charitynavigator.org.
The author may also hold positions in securities of companies, including through ETFs, which may have been covered herein. The discussion and any visuals may contain significant errors, are subject to revisions and are provided 'as is' solely for informational purposes, not for trading or investment advice. Where health matters are discussed, this information should not be treated as medical advice nor as a diagnosis of any condition. While mathematics and (plasma) physics are viewed as indispensable tools, caution is advised against their overuse in attempting to capture the entire essence of the universe. This preliminary analysis is exploratory; no claims are made as to the validity of data, assumptions, theoretical models, and methodologies; results may be based on prior data that do not reflect the most current market or other events. The document may be updated from time to time.
APPENDIX
Exploring the Link between Gravity and Electromagnetism
Table 1. Predictions of Gravitational Phenomena from Light Beam Observations
Table 2. Symbols List
Source: Haug (2019; 2021). Table 1 Note: No knowledge of G or M is required for measurement.
REFERENCES
Notes
A number of these references may relate to previous studies by the author and in particular on econobiophysics (Kennedy 2022b).
This reference section is followed by an Afterword.
Online references may exclude “https.” Some dates may vary slightly according to time zone differences. If a date is not clearly indicated in an online reference, the most recent year of access will be shown. If an author name is not made available for a page (online), either the online publication name or the name of the principal individual being covered is used. Financial data sources may include Bloomberg, CNBC, the Security & Exchange Commission (SEC), Yahoo! Finance and individual company annual reports. Online or other software employed in analysis may include MathWave Technologies™, Microsoft Office™, SmartDraw™, or other applications. Citations or references do not imply endorsement or agreement with a source or author’s views, or that the authors cited or referenced would endorse or agree with this author. Some the sources cited may be from mass-distribution publications and some studies may not be peer-reviewed; authors may be listed in references according to the order shown in the study and not alphabetically. If a chapter, study, or section is contained within a book or series, the book/series title will usually be followed by parentheses. Retractions. Note that retractions of peer-reviewed and other studies may occur due to controversy arising when the findings conflict with predominant and accepted narratives rather than the quality of the research. These references are not a comprehensive listing of resources on the topics covered.
Abbas, Abul K., Lichtman, Andrew H., and Pillai, Shiv., Cellular and Molecular Immunology, 10th Edition, Elsevier, 2021.
Alfven, Hannes., “Plasma physics, space research and the origin of the solar system,” Nobel lecture, December 11, 1970. //www.nobelprize.org/uploads/2018/06/alfven-lecture.pdf
Alfven, Hannes., “Double Layers and Circuits in Astrophysics,” IEEE Transactions on Plasma Science, Vol PS-14, No.6, December 1986.
Arp, Halton., Quasars, Redshifts and Controversies, Interstellar Media, Berkeley, CA 1987.
Arp, Halton., Catalogue of Discordant Redshift Associations, Apeiron, Montreal, 2003. Re: refutation of “redshift equals distance” assumption in astrophysics.
Bennett, W.H., “Magnetically Self-focusing Streams,” Phys. Rev. 45, 890, 1934. (Re: Bennett or Z-Pinch)
Birkeland, Kristian., The Norwegian Aurora Polaris Expedition 1902-1903: On the cause of magnetic storms and the origin of terrestrial magnetism, Volume 1, H. Aschehoug & Co., 1908. //archive.org/details/norwegianaurorap01chririch/page/878/mode/2up (Re: Birkeland currents).
Bourgeois-Gironde S., Addessi E., Boraud T., “Economic behaviours among non-human primates.” Philosophical Transactions Royal Society B (Phil. Trans. R. Soc. B) 376: 20190676, 2021.
Britannica, The Editors of Encyclopaedia., "Lorentz force". Encyclopedia Britannica, 16 Feb. 2023, //www.britannica.com/science/Lorentz-force; accessed 2023.
Calatayud, Paul-André., "The Contribution of Electrophysiology to Entomology," Entomology, Ornithology & Herpetology: Current Research, Vol. 3, Issue 1, 2014.
Carroll, John W., "Laws of Nature", The Stanford Encyclopedia of Philosophy (Winter 2020 Edition), Edward N. Zalta (ed.). //plato.stanford.edu/archives/win2020/entries/laws-of-nature/
Cavalier-Smith, T. The Origin of Cells: A Symbiosis between genes, catalysts and membranes,” Cold Spring Harbor Symposia on Quantitative Biology, 52: 805-824, 1987.
Chen, Francis., Introduction to Plasma Physics and Controlled Fusion, Springer; 2019.
Cornu. A., Baille., J.B., « Détermination nouvelle de la constante de l’attraction et de la densité moyenne de la terre., » C. R. Acad. Sci. Paris, 76, 1873.
Davies, Paul., The Mind of God: The Scientific Basis for a Rational World, Simon & Schuster, 2005.
De Col V., Fuchs P, et al., "ATP sensing in living plant cells reveals tissue gradients and stress dynamics of energy physiology," Elife, 6: e26770, Jul 18, 2017.
Della Salla, Sergio (Ed.)., Encyclopedia of Behavioral Neuroscience, 2nd edition, Elsevier Publishing, 2021.
Derman, Emanuel., Models. Behaving. Badly, Free Press, 2012.
Einstein, Albert., (1905a) "On the electrodynamics of moving bodies." Annalen der Physik, 17, pp. 891-921, June 1905.
Einstein, Albert., (1905b) "Does the inertia of a body depend on its energy content?" Annalen der Physik, 18, pp. 639-41, September 1905.
Fix, Blair., “Energizing Exchange: Learning from Econophysics’ Mistakes,” Economics from the Top Down, March 12, 2021. ://economicsfromthetopdown.com/2021/03/12/energizing-exchange-learning-from-econophysics-mistakes/
Fried, B.D., and Conte, S.D., The Plasma Dispersion Function, Academic Press, New York, 1961.
Friedmann, Alexander., “Über die Krümmung des Raumes,” Zeitschrift für Physik Vol. 10, 377–386 (1922). *On the curvature of space; also see Einstein (1905a, 1905b), Narlikar (1977), Haug (2022).
Fröhlich, Flavio., "Neuronal Communication Beyond Synapses," Network Neuroscience, Chap 6, pp. 73-84, October 2016.
Goldstein, Rebecca., Incompleteness: The Proof and Paradox of Kurt Godel, W.W. Norton, 2005.
Gurnett, Donald., Bhattacharjee, Amitava., Introduction to Plasma Physics: With Space, Laboratory and Astrophysical Applications, Cambridge University Press, 2nd Ed., 2017.
Harrison, R. Giles., “The Carnegie Curve,” Surveys in Geophysics, Vol. 34 (2), 209-232, 2012.
Haug, Espen Gaarder., (2019) “Extraction of the Speed of Gravity (Light) from Gravity Observations Only,” International Journal of Astronomy and Astrophysics, 2019, 9, 97-114. (re: The table of predictions of gravitational phenomena in the Appendix to this study)
E. G. Haug. “Demonstration that Newtonian gravity moves at the speed of light and not instantaneously (infinite speed) as thought!” Journal of Physics Communication., 5(2):1, 2021. // 1088/2399-6528/abe4c8. (Re: The table of symbols in the Appendix to this study is sourced from a draft version of this publication)
Haug, Espen Gaarder, “Unified cosmological scale versus Planck scale: As above so below!” Physics Essays, Vol 35, Number 4, pp 356-363, December 2022.
Hocart, Charles., "Fourier transform ion cyclotron resonance," Comprehensive Natural Products II, Chemistry and Biology, Volume 9, 2010, 327-388; in Chemistry, Molecular Sciences and Chemical Engineering Reference Module 9.10.2.3.8 (Elsevier Reference Collection).
Hunting, et al., “Atmospheric Electricity Influencing Biogeochemical Processes in Soils and Sediments,” Frontiers in Physiology, 10: 378, 2019.
Hutt, William., A Rehabilitation of Say's Law, Ohio University Press: Athens, 1974. (Also see Sowell 1973).
Kennedy, Raoul., (2022a) "On Natural Interest Rate Determination and Policy Rates: Reflections on Central Planning of Interest Rates," System Analytics Substack, March 10, 2022. //raoulkennedy.substack.com/p/natural-rates-review-what-the-right
Kennedy, Raoul., (2022b) “Econobiophysics Notes: An Exploration into Systems and Principles of Nature,” System Analytics, Substack, 2022. //raoulkennedy.substack.com/p/econobiophysics-notes-an-exploration
Klimov, Pavel B.., O’Connor, Barry., “Is Permanent Parasitism Reversible? Critical Evidence from Early Evolution of House Dust Mites,” Systematic Biology, Volume 62, Issue 3, pp. 411-423, May 2013. Also, re: Dollo’s Law.
Langmuir I., Jones H.A., “A Simple Method for Quantitative Studies of Ionization Phenomena in Gases,” Science (New York, N.Y.). 59: 380-3, 1924.
Langmuir I., “The interaction of electron and positive ion space charges in cathode sheaths,” Physical Review. 33: 954-989. 1929.
Ley, Francisco., Riquelme, Mario., et al., “Stochastic Ion Acceleration by the Ion-Cyclotron Instability in a Growing Magnetic Field,” The Astrophysical Journal, Volume 880, Issue 2, 100, August 2019. *Authors, cont’d: Sironi, Lorenzo; Verscharen, Daniel; Sandoval, Astor.
Lorentz, H.A., (1899a) “Considerations concerning the influence of a magnetic field on the radiation,” Proceedings Koninklijke Akademie van Wetenschappen 1: 90-98 (1899).
Lorentz, H.A., (1899b) “Simplified theory of electrical and optical phenomena in moving systems,” Proceedings Koninklijke Akademie van Wetenschappen 1: 427-442, 1899.
Marklund, G.T., “Plasma Convection in Force-Free Magnetic Fields as a Mechanism for Chemical Separation in Cosmical Plasmas, Nature, 277 370, 1979. Re: Marklund convection: radial distribution of elements according to ionization potentials.
Maxwell, James Clerk., Treatise on Electricity and Magnetism, Oxford, Clarendon Press, 1873.
McNaught, A.D., Wilkinson, A., Compendium of Chemical Terminology (IUPAC Chemical Data), 2nd Edition, Wiley, 1997.
Mises, Ludwig (von)., (1949) Human Action: The Scholar's Edition, Ludwig von Mises Institute, 2010.
Mott-Smith, Harold M., "History of "Plasmas, " Nature 233, 219 (1971).
Narlikar, J.V.., “Two Astrophysical Applications of Conformal Gravity,” Annals of Physics, Vol. 107 (1-2), September 1977 (325-336). Note: Removal of assumption of constant mass of particles in the universe in a re-examination of Friedmann’s (1922) solution to the general form of Einstein’s theory of General Relativity; also see Einstein (1905a, 1905b), Friedmann (1922), Haug (2022).
NASA., “Black Holes and Tidal Forces,” in Space Math, //spacemath.gsfc.nasa.gov, Accessed 2023.
Newton, Isaac., Optics, 1704.
Northrop, Theodore., “Adiabatic Motion of Charged Particles,” Interscience Publishers, New York, 1963.
Peratt, Anthony., The Physics of the Plasma Universe, Springer-Verlag, 1992.
Poundstone, William., The Recursive Universe, Oxford University Press, 1985.
Say, J.B., Traité d'Economie Politique, 1803. (re: Say’s Law)
Scott, Donald., The Electric Sky: A Challenge to the Myths of Modern Astronomy, Mikamar, 2nd Edition, 2012.
Sowell, Thomas., Say's Law, Oxford University Press, 1973. (Also see Say 1803 and Hutt 1974).
Spitzer, Lyman, Jr., (1956) Physics of Fully Ionized Gases, Second Revised Edition, Dover Publications, 2006.
Stein, James D., Cosmic Numbers: The Numbers that Define our Universe, Basic Books, 2013.
Taleb, Nassim Nicholas., Skin in the Game: Hidden Asymmetries in Daily Life, Allen Lane, 2018.
Thomas, Lewis., The Lives of a Cell: Notes of a Biology Watcher, Penguin Books, 1978.
Walker, Francis A., Political Economy, Henry Holt and Company, New York, 1888.
AFTERWORD
This section offers parting thoughts on ways to ensure sustainable peace, prosperity, health, well-being, and protection against cataclysmic outcomes: What further clues can electrodynamics offer to elucidate systemic solutions for humanity and the planet?
An answer may center on acquiring a fundamental appreciation of the natural resonance frequencies of econobiophysical systems towards reaching their full innate energetic expression while counterbalancing destabilizing and destructive external driving forces.
See the supporting notes next for additional commentary, as well as the references and resources.
Supporting Notes to the Afterword
These supporting notes are in draft form but are appended to provide further context for the Afterword as well as for self-reference for future reflection and research.
1.Underlying concepts in brief (also see References and Resources below): In Physics, the resonance frequency of a system is assumed to be nearly synonymous with its natural frequency, where the response amplitude is at maximum, approximately defined as a sustained frequency of oscillations without external perturbations (unforced vibrations). It is recognized that some systems may have numerous distinct resonant frequencies. Key related concepts: Avoidance and counterbalancing of resonance disaster; natural energy dissipation; the effect of impedance on resonance; the universal resonance curve.
In biology, the negative concentration gradient (unequal concentration of charges across the cell membrane that generates charge separation, or resting membrane potential) facilitating signal transduction from chemical (ion) form to produce cellular responses, such as for the transmission of information from the nervous system to muscles (also re: action potential states). The body’s electrophysiological balance is considered essential for optimal physical (and mental) performance, including by avoidance of harmful destabilizing conditions.
In economics, analogous to biology and plasma physics, a “voltage drop” or "gradient" would be the unequal potential “energy” states between demand for a good and its supply that can be “captured” by (entrepreneurial) economic actors in the form of profit or positive cash flow (e.g., cash inflows as revenues=price x quantity that exceed cash outflows as expenses=price x input cost). The counterbalancing feedback loop of economic systems naturally regulates the incentive to capture profits by “dissipating” profitability as excess supply enters the market relative to demand, thereby providing an innate mechanism for slowing production and supply. Distortions and “Resonance Disaster” within Economic Systems. Sustaining natural resonance frequencies also may require avoiding distortions such as those caused by policy interventions (re: political management and negative polarity of self-reinforcing positive feedback loops). Examples of distorting impacts of positive feedback loops include: suppression of accurate information flows about true costs (e.g., information about prices and profits that reflect true costs as signals to increase or slow down production and/or distribution of goods and services to avoid destabilizing excesses or shortages); the shifting of costs by policies that encourage overconsumption (e.g., subsidization of the cost of consumption drives excess demand that in turn raises input costs to the providers. The imbalance between subsidized cost to consumer and input costs generates financial losses and supply shortages; more external funding is required to cover the losses until eventually the funds are depleted leading to some form of collapse); overproduction/oversupply (e.g., subsidization of input costs, including the cost of funds in credit) that unnaturally impedes the dissipation of profits as supply is further incentivized, resulting in “gluts”/oversupply of goods and/or credit (including for real estate), leading to default or bankruptcy for over-indebted businesses/developers when prices of the goods in oversupply collapse. Dissipation in Economic Systems. The negative polarity and counterbalancing/self-correcting dynamics of economic systems that reflect true costs act to prevent destabilizing and destructive excesses or shortages from developing in markets while driving a dynamic of conservation and economization of the use of resources and time while producing rates of return on economic activity without outsized supply imbalances or financial losses and breakdown. Real* undistorted rates of return and interest rates may be key indicators that encapsulate natural growth-sustaining economic value creation; in theory these real undistorted real rates may be reflections of the natural resonance frequencies of econobiophysical systems (i.e., applied to the physical, biological and economic realms). *"real" as in real purchasing power.
2.Additional Speculative Notes: Dirac's derivation of 720-degree-rotation spinors by taking the square root of the Klein-Gordon equation (for particles with zero spin) may lead to some potentially interesting links between key relationships and the "micro" and "macro" perspectives of nature. Some foundational points are enumerated next, roughly articulated: 1. The rotation of spinors as is required for Pauli's exclusion principle (whereby electrons are forced into another shell with a higher energy level). 2. The property of "spin” (i.e., as in rotation around an axis) of particle angular momentum is rooted in an electro-magnetic moment. 3. The magnetic field is always perpendicular to the electrical current, as are the adjoining legs that form the right angle in a right triangle. 4. Next, a discrete spiral can be formed by stacking right triangles with the outer leg of length 1 and the initial spoke of the first right triangle of length sqrt (1), the next spoke (which is the hypotenuse of first right triangle) being of length sqrt (2), and so on (re: Theodorus spiral aka the Einstein spiral, Pythagorean spiral, square root spiral Wolfram 2024), as seen in the following graphic:
Image credit: mathworld dot wolfram dot com (Accessed 2024).
Given the points above, does a link emerge between the quantum and the cosmic scales as we introduce the predictions of a plasma universe? The spiral motion of electrons along a magnetic field generates electro-magnetic emissions (re: synchrotron radiation); high-intensity electric current passing through a plasma will take on the corkscrew (spiral) shape as characteristic of Birkeland currents. Note: The "z-pinch" or "Bennett pinch" effect refers to the compression of (ionized or non-ionized) material between Birkeland currents that typically occur in pairs. This “pinch” mechanism may explain the observation that cosmic matter tends to form an abundance of filamentary, stringy structures (Scott 2012).
Returning to previous discussion on Narlikar's assumption of non-constant particle mass in time, the square of the time (age) of the mass is proportional to growth rate of cosmic mass. Does a common pattern emerge? The square of the amplitude of the wave function gives us a measure of the Born probability (re: the Born rule). The square of the amplitude of a wave is proportional to its energy (intensity). The square of the voltage (V as a unit of electrical potential) gives us the amperage (I) (the flow rate of the electrical current). The square of the amplitude of the oscillations is the intensity of a response in resonant systems (re: Cauchy-distributed universal resonance curve; Terman 1932).
Additional References and Resources
Dirac, Paul., (1964) Lectures on Quantum Mechanics, Dover 2001 (republished from the Belfer Graduate School of Science Monographs Series, Vol 2, Yeshiva University, New York, 1964) (also re: Final lecture, Dirac-Born-Infeld action of non-linear electrodynamics).
England, Jeremy., Marsland, Robert., Perunov, Nikolay., "Statistical Physics of Adaptation" Physical Review X, 6, June 16, 2016 (re: dissipation, self-replication, information-processing capacity and self-organization; synopsis by England published in Quanta, July 26, 2017)
Neumann, J.V., "A Model of General Economic Equilibrium" The Review of Economic Studies, Vol. 13 No. 1 (1945-46) (a model not comprised of equations but inequalities)
Prigogine, Ilya., "Time, Structure and Fluctuations," Nobel Lecture, 8 December 1977.
(https://www.nobelprize.org/prizes/chemistry/1977/prigogine/lecture/) (on dissipative structures and the self-organization out of disordered, non-equilibrium systems).
Terman, Frederick., "Radio Engineering," McGraw-Hill Book Co., 1932 (re: universal resonance curve).
Other Resources:
Gell-Mann, Murray (on chaotic systems as a subset of complex systems distinguished by absence of historical dependence); Lavender, Gemma (quantum physics); Peters; Ole (ergodicity economics: static ensemble average or expectation value = dynamic time average); Muller, Richard (physics of time); Thornhill, Wal (on plasma electrodynamics and Birkeland currents); Weinstein, Eric (on spinors and spinorial matter, @EricWeinsteinPhD); Wikipedia on resonance; Wolfram, Stephen (Wolfram Math). Also see the References of the study “Econobiophysics Notes: An Exploration into Systems and Principles of Nature,” System Analytics, raoulkennedy dot substack dot com, September 26, 2022 (Kennedy 2022b), as well as the main reference section of this study, above.











A video summary is available here Video: https://youtu.be/pTHHlpVGmt4